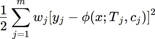
Derived from the maximum likelihood principle, when the discrepancies between model-calculated and experimental values are assumed to be independent, identically distributed with a normal distribution function, a set of model parameters with the best fit to the given experimental data can be obtained by the least square method. In the real world the experimental data may come from different sub-populations for which an independent estimate of the error variance is available. In this case, a better estimate than the ordinary least squares (OLS) can be obtained using weighted least squares (WLS), also called generalized least squares (GLS), then the sum of the squares can be written as
The idea is to assign each observation a weight factor that reflects the uncertainty of the measurement. According to our previous experiences this method is efficient and reliable in the optimization of model parameters and develop variety of databases.
