(a) One-size model
As a first approximation, a one-size grain evolution model is implemented. In this model, by giving an initial grain structure including average grain size and volume fraction, the new grain size at each time step is updated based on the coarsening rate defined in Eq. 5.38:
In this model, the growth rate of recrystallized grains,
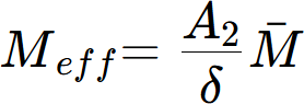
is expressed by the product of an effective mobility,
, and the driving force P. The grain number density is then adjusted according to the conservation equation by maintaining the constant volume fraction. The grain boundary mobility is given by [2009Pay]:
where
is the effective atomic mobility for a multi-component system, which is computed directly from mobility database
(Ci is the instant composition of the matrix phase and
is the atomic mobility); δ is the grain boundary width. A2 is a factor related to the fraction of atomic jumps which result in a 'permanent' motion of the grain boundary in the direction of the driving force. The grain coarsening driving force P=PC+PZ related to the local grain boundary curvature PC and the Zener drag force PZ due to the pinning effect of the precipitates [1985Nes]. PC is given by:
where R is the grain radius and γ is the grain boundary interfacial energy.
where
and
are the volume fraction and average radius of each precipitate phase, which can be obtained from the precipitation modeling. β is a Zener drag force factor and the most used value is β=3/2.
(b) Multi-size model
In order to track the evolution of grain size distribution (GSD), the Multi-size model is implemented based on the KWN model developed for the simulation of recrystallization (not implemented in this version) and grain coarsening processes. In the Multi-size model, the continuous grain size distribution (GSD) is divided into a large number of size classes. The program takes a simulation step at every sample time hit. To maintain both accuracy and efficiency between two adjacent simulation steps, a fifth-order Runge-Kutta scheme is used to generate an adaptive step size based on the continuity equation and the growth/coarsening rate.
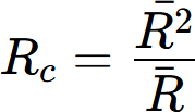
The coarsening of existing grains for each size class is given by [2009Pay]:
where Rc is the critical radius and can be calculated from by
, α is a constant and α = 2 for spherical grains. The effective grain boundary mobility Meff is defined in Eq. 5.39. The Zener drag effect Z can be obtained from Eq. 5.41.
After the coarsening rate of each size class is calculated, the number of grains in each size class is re-distributed and normalized to maintain the constant volume fraction of the system. To improve the efficiency, the number of size classes is fixed in the Multi-size model and the width of each size class is automatically adjusted according to the average grain size.
[1985Nes] Nes, E., N. Ryum, and O. Hunderi, On the Zener drag. Acta Metallurgica, 1985. 33(1): p. 11-22.
[2009Pay] Payton, E.J., Characterization and Modeling of Grain Coarsening in Powder Metallurgical Nickel-Based Superalloys, in Materials Science and Engineering. 2009, Ohio State University.




