(a) Homogeneous nucleation
At each simulation step, the number of new particles is first calculated using classical nucleation theory and then these new particles are allocated to an appropriate size class. The transient nucleation rate is given by,
The pre-exponential terms in Eq. 5.1 are: Nv, the nucleation site density, Z , the Zeldovich factor and b*, the atomic attachment rate. t is the time, t the incubation time for nucleation, kB the Boltzmann constant and T the temperature.
The nucleation barrier is defined as
where R* is the radius of the critical nucleus and
. The nucleation barrier can be written as,
where
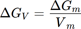
is the chemical driving force per volume for nucleation and calculated directly from thermodynamic database with
,
is the elastic strain energy per volume of precipitate. sab is the interfacial energy of the matrix/particle interface. For a spherical nucleus,
Where Vα is the molar volume of the matrix, and a is the lattice constant of the precipitate phase and Deff is the effective diffusivity
and is defined by [2004Svo], where Cpi is the mean concentration in the precipitate and C0i is the mean concentration in the matrix phase. D0i is the matrix diffusion coefficient of the component i.
The calculation of the elastic strain energy is given by Nabarro [1940Nab] for a homogeneous inclusion in an isotropic matrix,
Where μ is the shear modulus of the matrix. Thus the elastic strain energy is proportional to the square of the volume misfit ∆2. The function f(AR) provided in [1940Nab] is a factor that takes into account the shape effects. For a given volume, a sphere (AR = 1) has the highest strain energy while a thin plate (AR → 0) has a very low strain energy, and a needle shape (AR → ∞) lies between the two. Therefore the equilibrium shape of precipitates will be reached by balancing the opposing effects of interfacial energy and strain energy. When ∆ is small, interfacial energy effect should dominate and the precipitates should be roughly spherical.
In homogeneous nucleation, the number of potential nucleation sites can be estimated by,
Where NA is the Avogadro number. The value of nucleation site parameter Nf is an adjustable parameter and usually chosen close to solute concentration for homogeneous nucleation.
(b) Heterogeneous nucleation
For heterogeneous nucleation on dislocations, grain boundaries (2-grain junctions), grain edges (3-grain junctions) and grain corners (4-grain junctions), the potential nucleation sites Nv and the nucleation barrier ∆G* must be adjusted accordingly.
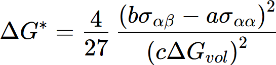
There are two ways to account for heterogeneous nucleation in PanEvolution. One way is to treat nucleation site parameter Nf in Eq. 5.7 as phenomenological parameters and replace Eq. 5.2 by a user-defined equation. An example is given at Section An Example KDB file for Heterogeneous Nucleation. The other way is to theoretically estimate the potential nucleation sites and calculate the nucleation barrier by assuming an effective interfacial energy for each nucleation site. For nucleation on grain boundaries, edges or corners, the nucleation barrier can be calculated by [1955Cle],
Where
is the interfacial energy and
is the grain boundary energy and a, b, c are geometrical parameters, which are evaluated for grain boundaries, edges and corners. By introducing a contact angle, the grain boundary energy can be calculated from
. An effective interfacial energy
is then introduced and the nucleation barrier is given as
with
The effective interfacial energy
can be applied in the framework of classical nucleation theory. One can verify that the homogenous nucleation equations are recovered with a = 0,b = 4π,c = 4π/3.
The potential nucleation sites on grain boundaries can be estimated from the densities for grain boundary area, grain edge and grain corner, which depend on the shape and size of grain in the matrix phase,
and
where ρi are nucleation densities, i = 3 for bulk nucleation, i = 2 for grain boundary nucleation, i = 1 for grain edge or dislocation nucleation and i = 0 for grain corner nucleation. The nucleation densities for grain boundary, edge or corner are dependent on the grain size D and the aspect ratio A = H/D in tetrakaidecahedron shape,
where fi(A) is a function of A and can be estimated for each case.
For nucleation on dislocations, the potential nucleation sites can be calculated from Eq. 5.11 if a dislocation density ρ1=ρd is given.
(c) Estimation of interfacial energy
The interphase boundary energy between the matrix and a precipitate phase or interfacial energy is the most critical kinetic parameter in the precipitation simulation. The generalized broken bond (GBB) method is used to estimate the interfacial energy for different alloys and temperatures,
The prefixed structure factor of 0.329 reflects the average proportion of broken bonds due to precipitations for fcc and bcc matrix. ∆Hsol is the solution enthalpy and calculated from thermodynamic database. αSCF is a correction factor for the size of the precipitate particle. βdff is a correction factor for diffuse interfaces. It is a function of T/TC with TC being the highest or critical temperature at which two phases are present in the system. At TC, the composition of matrix and precipitate phases is the same and the interface energy equals to zero. At T=0 K, an ideal sharp interface is present. TC can be provided by the user in the kdb file. If TC is unknown and not provided, βdff =1. Such an example is given in Section An Example KDB File for Ni-14Al (at%) Alloy Using the Calculated Interfacial Energy .
[1940Nab] F.R.N. Nabarro, “The strains produced by precipitation in alloys”, Proc. R. Soc. Lond. A, 175 (1940): 519-538.
[1955Cle] P.J. Clemm and J.C. Fisher, “The influence of grain boundaries on the nucleation of secondary phases”, Acta Metall. 3 (1955): 70-73.
[2004Svo] J. Svoboda et al., “Modelling of kinetics in multi-component multi-phasesystems with spherical precipitatesI: Theory”, Mater. Sci. Eng. A, 385 (2004): 166–174.












