Thermophysical Property Database
The thermophysical property database PanMg2026_TP is compatible with the PanMg2026_TH thermodynamic database and suitable for the simulation of thermophysical properties of Mg-based alloys. It includes the molar volume data for all the phases, surface tension and viscosity properties for the liquid phase, and thermal conductivity database, which can be used to calculate the thermal conductivity of the alloys under equilibrium, as-cast and as quenched three types of conditions.
Molar Volume
The current molar volume database covers all 854 phases assessed in the PanMg2026_TH database. It is used to calculate the density, thermal expansion, solidification shrinkage of Mg-based alloys.
The simulated density changes vs. temperature of a series of Mg-based alloys are shown below to validate the current PanMg_MV database.

Figure 3.1: Molar volume of Al-Mg Fcc and Hcp binary alloys at 298K [2000Gas, 2006Hal]

Figure 3.2: Density of Mg-Al binary alloys at 298K [2000Gas, 2006Hal]

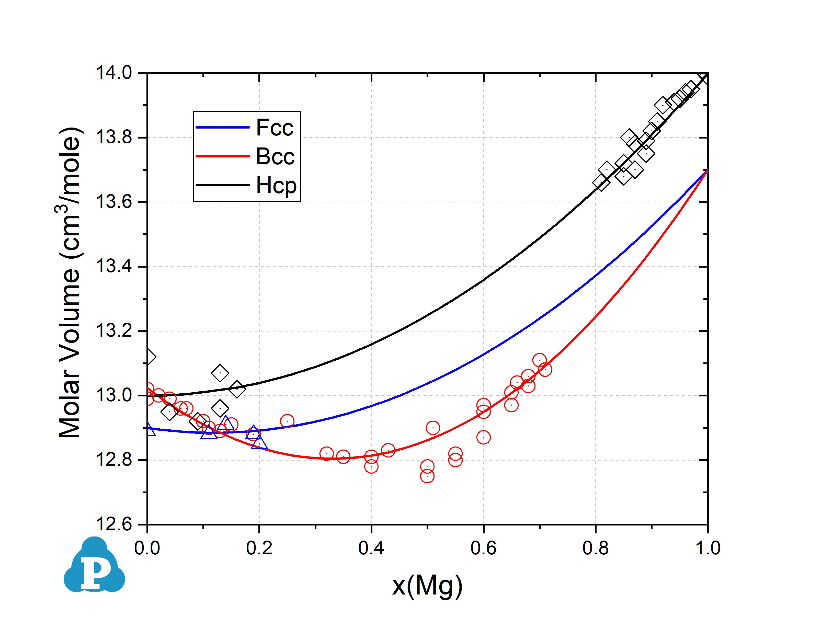
Figure 3.3: Molar volume of Li-Mg Bcc, Fcc, and Hcp binary alloys at 298K [1998Gas, 2006Hal]
Surface Tension
The surface tension of the liquid phase is added into the property database. Figure 3.4 shows the surface tension of a series of Mg-Al-Zn alloys in comparison with experimental data.

Figure 3.4: Surface tension of Mg-Al-Zn alloys
Viscosity
The viscosity of the liquid phase is added into the property database. Figure 3.5 shows the viscosity of a Mg30.2Al-25Zn alloy in comparison with experimental data.

Figure 3.5: Viscosity of the Mg30.2Al-25Zn alloy
Thermal Conductivity
The calculated thermal conductivities of Mg Alloys under as-cast condition are in agreement with the measured values [2024Lv] as shown in Figure 3.6 . The major discrepancy occurs when strong crystallographic texture results in anisotropy property in different directions like Mg-Mn-Zn related and some RE-related systems.

Figure 3.6: Comparison of calculated and measured thermal conductivity of Mg alloys in the as-cast condition
[1998Gas] W. Gasior, Z. Moser and J. Pstrus, Densities and molar volumes of solid Lithium-Magnesium (Li-Mg) alloys. Journal of Phase Equilibria, 19(6) (1998): 568-571.
[2000Gas] W. Gasior, Z. Moser and J. Pstrus, Densities of Solid Aluminum-Magnesium (Al-Mg) Alloys. Journal of Phase Equilibria, 21(2) (2000): 167-171.
[2006Hal] B. Hallstedt, Molar volumes of Al, Li, Mg and Si. Calphad, 31(2) (2006): 292-302.
[2024Lv] H. Lv, J. Tan, Q. Yuan, F. Wang, Y. Zhou, Q. Dong, A. Tang, J. Eckert, B. Jing, F. Pan, Recent advancements in thermal conductivity of magnesium alloys, Journal of Magnesium and Alloys 12 (2024) 1687–1708.