Table 11.5: Summary of Equations for Nucleation Models
|
Name |
Operation |
Examples |
|
J |
|
The transient nucleation rate |
|
Nν |
|
Potential nucleation sites |
|
Z |
|
Zeldovich factor |
|
β* |
|
Atomic attachment rate |
|
τ |
|
Incubation time |
|
ΔG* |
|
Nucleation barrier energy |
|
R* |
|
Critical nucleation radius |
|
ΔGvol |
ΔGV+ΔGS |
Volume energy change during nucleation.ΔGV is the chemical driving force per volume and ΔGS is the elastic strain energy |
|
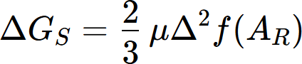
ΔGS |
|
Elastic strain energy. The volume misfit ∆ and particle aspect ratio AR are given in kdb file |
|
σeff |
|
Effective interfacial energy |
|
σαβ |
|
The estimated interfacial energy based on GBB method |
|
Deff |
|
Effective diffusivity for multi-component alloys |
Table 11.6: Model Options for precipitation in kdb
|
Name |
Options |
Description |
|
model |
KWN, Fast-Acting(FA) |
Refer to Figure 5.2 |
|
morphology |
Sphere; Cylinder |
Refer to Figure 5.3. The aspect ratio AR and shape factors are set to be 1 automatically when “Sphere” is selected |
|
nucleation |
Modified_Homogeneous; Grain_Boundary; Grain_Edge; Grain_Corner; Dislocation |
Refer to Table 11.5. Both homogeneous and heterogeneous nucleation can be considered by “Modified_Homogeneous”. In this case, the values of Nν and ∆G* must be manually adjusted through Nf, ∆Gv and ∆GS as discussed in Table 11.8. |
|
growth |
Simplified; SFFK; SFFK_Shape_Evolution |
A constant value of The aspect ratio AR can be assigned for “Simplified” and “SFFK”. Choose “SFFK_Shape_Evolution” for shape evolution, which means AR varies during particle growth |
|
phase_name |
|
Each “PrecipitatePhase” has a “name” and “phase_name”. “phase_name” must be consistent with the name in tdb/pdb. The “phase_name” tag can be empty if “name” and “phase_name” are same. |
Table 11.7: Model Options for grain growth in kdb
|
Name |
Options |
Description |
|
model |
Grain_OneSize, Grain_MultiSize |
Refer to Figure 5.2 |
|
morphology |
Sphere |
Only spherical approximation is considered |
|
nucleation |
N/A |
Recystallization process is not included |
|
growth |
Grain_Simplified |
The simplified grain growth model is implemented as shown in Equations Eq. 5.38 and Eq. 5.41. User’s grain growth model can be defined in KDB (see example Section User-defined growth rate model for grain coarsening) |
Table 11.8: Kinetic model parameters for precipitation in kdb
|
Name |
Unit |
Description |
Equation |
|
Molar_Volume |
m3/mole |
Molar volume of matrix or precipitate phase <Parameter type="Molar_Volume" value="6E-6" description="Molar Volume" /> |
|
|
Grain_Size |
m |
The grain size of the matrix phase <Parameter type="Grain_Size" value="1e-4" description="Grain size, default value = 1e-4m" /> |
D in Eq. 5.12 |
|
Dislocation_Density |
m-2 |
The dislocation density in the matrix phase <Parameter type="Dislocation_Density" value="1e13" description = "Dislocation density, Default value =1.0e12/m^-2" /> |
ρi in Eq. 5.10 |
|
Grain_Aspect_Ratio |
N/A |
The aspect ratio for the matrix grain <Parameter type="Grain_Aspect_Ratio" value="1.0" description="grain aspect ratio, default value = 1.0" /> |
A in Eq. 5.12 |
|
Contact_Angle |
degree |
Contact angle of nucleus on grain boundary, default value = 90 degree |
|
|
Aspect_Ratio |
N/A |
The aspect ratio of the precipitate phase. The value of ARis evolving if “SFFK_Shape_Evolution” is chosen as growth model. <Parameter type="A_R" value="1" description ="Initial aspect ratio" /> |
AR in Eq. 5.6 |
|
Interfacial_Energy |
J/m2 |
Interfacial energy <Parameter type="Interfacial_Energy" value="0.2" description ="Interfacial Energy" /> User keyword “IFE_CAC(*)” to get the calculated interfacial energy: <Parameter type="Interfacial_Energy" value="IFE_CALC(*)" description="Interfacial Energy" /> |
|
|
Interfacial_Energy_L |
J/m2 |
Interfacial energy in L direction <Parameter type="Interfacial_Energy_L" value="0.05" description="Interfacial Energy in L direction" /> |
Used in “SFFK_Shape_Evolution” model |
|
Antiphase_Boundary_Energy |
J/m2 |
Antiphase boundary energy |
|
|
Atomic_Spacing |
m |
Usually use lattice constant <Parameter type="Atomic_Spacing" value="7.6E-10" description="Atomic Spacing" /> |
a in Eq. 5.4 |
|
Nucleation_Site_Parameter |
N/A |
Homogeneous: choose a value close to solute concentration; Heterogeneous: choose a value close to nucleation density when “Modified_Homogeneous” option is chosen for nucleation model. Otherwise, use the model automatically estimate the nucleation density and default value of 1.0 can be used. Such an example is given in Section: Another Example for Heterogeneous Nucleation |
|
|
Driving_Force_Factor |
N/A |
A factor adjusting chemical driving force obtained by thermodynamic calculation |
A pre-factor applied to ΔGV in Eq. 5.2 |
|
Strain_Energy |
|
The elastic strain energy per volume of precipitate offsetting the calculated value by equation Eq. 5.5. |
|
|
Volume_Misfit |
N/A |
The volume misfit |
Δ in Eq. 5.6 |
|
Kinetic_Parameter_Factor |
N/A |
A factor adjusting kinetic parameter obtained by thermodynamic and mobility calculation |
A pre-factor applied to adjust K in equation Eq. 5.14 |
|
Effective_Diffusivity_Factor |
N/A |
A factor adjusting effective diffusivity for nucleation obtained by mobility calculation |
A pre-factor applied to adjust Deff in Eq. 5.4 |
|
Steady_State_Nucleation_Rate |
N/A |
0: transient nucleation rate; 1: steady state nucleation rate; |
|
Table 11.9: Kinetic model parameters for grain growth in kdb
|
Name |
Unit |
Description |
Equation |
|
Interfacial_Energy |
J/m2 |
High angle grain boundary energy |
|
|
Grain_Boundary_Width |
m |
Grain boundary width. A suggested value is equal to twice the atomic radius. |
δ in Eq. 5.39 |
|
Grain_Boundary_Mobility_Factor |
N/A |
A pre-factor to adjust grain boundary mobility. |
A2 in Eq. 5.39 |
|
Zener_Drag_Force_Factor |
N/A |
A factor for Zener drag force, default is 0 for not considering Zener pinning effect. |
β in Eq. 5.41 |
Table 11.10: User-defined models for grain growth in kdb
|
Name |
Unit |
Description |
Equation |
|
Grain_Boundary_Mobility |
m/(s·J/mol) |
User-defined grain boundary mobility. It can be an expression, for example: 1e-18/2.86e-10 <VariableTable name="Variables replacing built-in variables" |
KP(@Fcc) ( |
|
Zener_Drag_Force |
J/mol |
User-defined drag force for Zener pinning effect. It can be an expression, for example: -1.5*7.1E-6*0.75*0.15/(0.3 * 1e-6), which is "-factor*Vm*Sigma*fv/size" |
|
|
Growth_Rate |
m/s |
User-defined grain growth rate. It can be an expression, for example: KP(@Grain)/2.86e-10*2*0.75*7.1e-6/s(@Grain) with KP(@Grain) is the effective mobility and s(@Grain) is the mean grain size |
|
Table 11.11: Mechanical model parameters defined in kdb
|
Name |
Unit |
Description |
Equation |
|
Shear_Modulus |
Pa |
The shear modulus of the matrix phase |
|
|
Burgers_Vector |
m |
The Burgers vector of the matrix phase |
b in Eq. 5.36 |
|
Taylor_Factor |
N/A |
The Taylor factor of the matrix phase |
M in Eq. 5.37 |
|
Solution_Strengthening_Factor |
N/A |
scaling factor of alloying element for solution strengthening |
aj in Eq. 5.31 |
|
Strength_Parameter |
N/A |
Strengthening parameter due to precipitation hardening |
kP in Eq. 5.27 |
|
Shearing_Critical_Radius |
m |
Critical radius shifting from shearing to looping mechanism |
RC in Eq. 5.27 |
|
Intrinsic_Strength |
MPa |
The baseline contribution including lattice resistance, work-hardening and grain boundaries hardening. |
σ0 in Eq. 5.30 |
|
Hardness_Factor |
N/A |
The yield strength in MPa can be converted to hardness in VPN based on Eq. 5.31 |
A in Eq. 5.32 |
|
Hardness_Constant |
VPN |
The yield strength in MPa can be converted to hardness in VPN based on Eq. 5.31 |
B in Eq. 5.32 |
Table 11.12: Model parameters for RX and Dislocation Density in kdb
|
Name |
Unit |
Description |
Equation |
|
f_WH |
N/A |
Work hardening coefficient for dislocation density evolution model |
fw in Eq. 5.44 |
|
f_DRV |
N/A |
Dynamic recovery coefficient for dislocation density evolution model |
fv in Eq. 5.45 |
|
f_SRV |
N/A |
Static recovery coefficient for dislocation density evolution model |
|
|
f_RX |
N/A |
Recrystallization coefficient for dislocation density evolution model |
fx in Eq. 5.46 |
|
Avrami_Exponent |
N/A |
Exponent for JMAK |
n in Eq. 5.49 |
|
time_half |
s |
The time for 50% RX for JMAK |
t0.5 in Eq. 5.49 |
|
Nucleation_Site_Parameter |
N/A |
Parameter for potential nucleation sites for the Fast-Acting nucleation model |
Nf in Eq. 5.57 |
|
Kinetic_Parameter_Factor |
N/A |
Kinetic parameter factor for the Fast-Acting growth model, which is a pre-factor to adjust the effective self-diffusivity Deff |
Pre-factor of Deff in Eq. 5.60 |
Table 11.13: User-Defined variables for RX and Dislocation Density in kdb
|
Name |
Description |
|
Dislocation_Density_Rate |
User-defined dislocation density rate to replace the built-in K-M model defined by Eq. 5.43 |
|
Nucleation_Rate |
User-defined nucleation rate to replace the built-in model defined by Eq. 5.58 |
|
Nucleation_Barrier_Energy |
User-defined Nucleation barrier energy to replace the built-in model defined by Eq. 5.56 |
|
Critical_Grain_Size_RX |
User-defined Critical nucleus size for RX to replace the built-in model defined by Eq. 5.55 |
|
Dislocation_Mean_Free_Path |
User-defined Dislocation mean free path for critical density to replace the built-in model defined by Eq. 5.54 |
|
Growth_Rate |
User-defined Growth rate to replace the built-in RX growth model defined by Eq. 5.59 |
Table 11.14: Symbol and syntax for retrieving system quantities
|
Name |
Unit (SI) |
Comments |
|
time |
second |
Time |
|
T |
K |
Temperature |
|
vft |
|
Total Transformed Volume Fraction: |
|
x(comp), w(comp) |
|
Overall alloy composition |
Table 11.15: Symbol and syntax for retrieving quantities of precipitate phases or grain
|
Name |
Unit (SI) |
Comments |
|
s(@phase) |
m |
Average size/radius of equivalent sphere particles or grain |
|
D(@phase) |
m |
Diameter of cylinder |
|
L(@phase) |
m |
Length/Height of cylinder |
|
A_R(@phase) |
m |
Aspect ratio of cylinder |
|
nd(@phase) |
#m-3 |
Number density |
|
nr(@phase) |
m-3sec-1 |
Nucleation rate |
|
vf(@phase) |
|
Volume fraction of specified phase |
|
x(comp@phase), w(comp@ phase) |
|
Instant composition of the matrix or precipitate phases |
|
IFE_CALC(@phase) |
J/m2 |
Model calculated interfacial energy |
|
dgm(@phase) |
J/mole |
Nucleation driving force of phase(s) |
|
vf_range(@phase,lb,ub) |
|
The volume fraction for different particle groups defined by a size range [lb, ub] such as primary, secondary and tertiary in Ni-based super alloys, for example vf_range(@L12_FCC,0.5e-8, 0.5e-7) |
|
s_range(@phase,lb,ub) |
|
average size for different particle groups defined by a size range [lb, ub], for example s_range(@L12_FCC,0.5e-8, 0.5e-7) |
|
Grain_Size |
m |
Mean grain size for the deformed matrix grains and the recrystallized grains |
|
dislocation_density(@*) |
1/m2 |
Dislocation density in the deformed matrix grains or the recrystallized grains. Example: dislocation_density(@Grain) |
Table 11.16: Symbol and syntax for retrieving quantities of particle size distribution (PSD)
|
Name |
Unit |
Comments |
|
time |
s |
The PSDs are saved for the user-specified times; the PSD for the last time step is automatically saved. Using time = t to get the PSD for time “t”. |
|
psd_id |
N/A |
The PSD consists of a certain number of cells (size classes); psd_id gets the cell id. |
|
psd_s(@phase) |
m |
The characteristic size of a precipitate phase or grain for each cell. |
|
psd_nd(@phase) |
#m-3 |
The number density of a precipitate phase or grain for each cell. |
|
psd_gr(@phase) |
m/sec |
The growth rate of a precipitate phase or grain for each cell. |
|
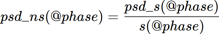
psd_ns(@phase) |
|
Normalized size of the cell
|
|
psd_nnd(@phase) |
|
Normalized number density of the cell |
|
psd_df(@phase) |
|
The distribution function: |
|
psd_cvf(@phase) |
|
Cumulative volume fraction of phase(s). Example: psd_cvf(@L12_FCC). |
Table 11.17: Symbol and syntax for retrieving mechanical properties
|
Name |
Unit (SI) |
Comments |
|
sigma_y |
MPa |
Overall yield strength. Example: sigma_y |
|
Hv |
vpn |
Overall microhardness. Example: hv |
|
sigma_i |
MPa |
Intrinsic yield strength. Example: sigma_i. |
|
sigma_ss |
MPa |
Yield strength due to solution strengthening. Example: sigma_ss. |
|
sigma_p(@*) |
MPa |
Yield strength due to precipitation hardening. Example: sigma_p(@Mg5Si6). |
|
sigma_m(@Grain) |
MPa |
Yield strength due to dislocation interactions in grain structure. |
Table 11.18: Constants of mathematics and physics
|
Name |
Comments |
|
_K |
Boltzmann constant |
|
_PI |
Archimedes' constant. |
|
_R |
Molar gas constant. |
|
_NA |
Avogadro constant. |
|
_E |
Natural Logarithmic Base. |





















